
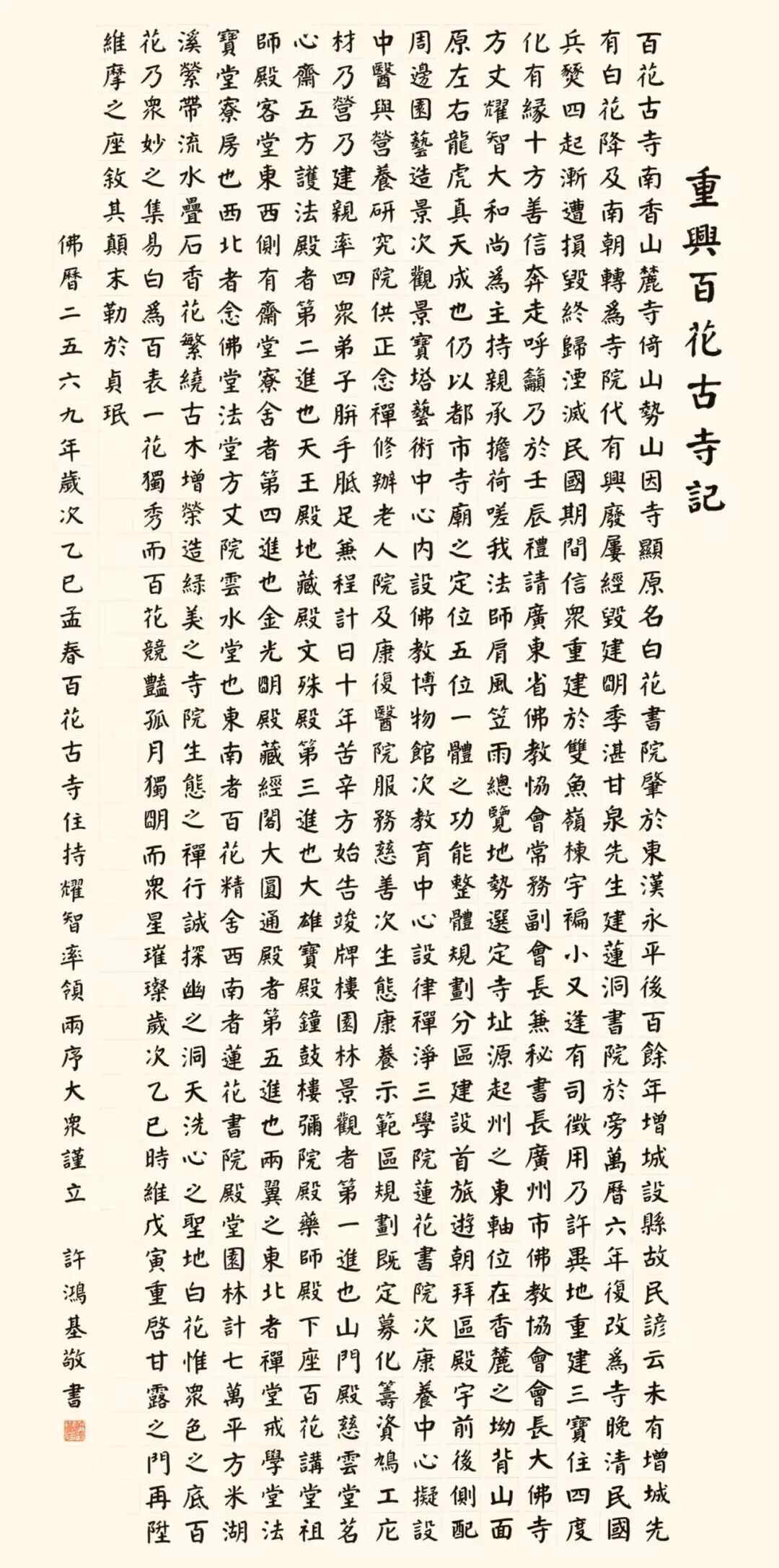
岭南的二月,春和景明,千祥云集。在广州市增城区百花古寺大雄宝殿左前方,一方新立的石碑悄然矗立。碑身青黑,石质温润,其上字迹厚重朴茂,似与这千年古刹的呼吸同频。这便是中国书协原理事、广东省书协原副主席、省文史馆书画院副院长、广州市书协原主席许鸿基先生所书丹的《重兴百花古寺记》。此碑并非寻常书家题额,而是一篇记述寺院重光始末的完整碑记,其书写、镌刻与最终的拓件,共同构成了一部无声却雄浑的“石上交响”。这不仅是岭南书法艺术的一次集中展现,更是对盛唐书法气象的深情回望与创造性转化,蕴含着丰富的文化意义与实用功能。
细观碑上文字,最引人注目的,是其血脉深处流淌的颜鲁公风骨。许鸿基先生于此碑中,取法颜真卿《郭家庙碑》者尤多。这并非偶然的选择。《郭家庙碑》乃颜鲁公五十六岁时力作,书风气势磅礴,苍劲有力。此碑的书法精神更为充沛,力量更为饱满,笔法也更为精练。细观此碑,筋骨劲健,结体紧凑,点画丰,八面沉稳,遒劲中有潇洒之致。许先生于此心领神会,笔下便自然流露出相似的神采与气度。

然而,许先生的“学颜”,绝非亦步亦趋的机械描摹,而是一种深具个人体悟与地域特色的创造性转化。他将《郭家庙碑》的雄强骨架,与岭南特有的温润文雅气息巧妙调和。观其用笔,保留了颜体书法中凝重的篆籀之气与藏锋之厚,但在行笔的节奏与意态上,又自然而然地增添了几分南国特有的从容与舒展。其横竖之画,不见剑拔弩张的霸悍之气,反有一种绵里裹铁的韧劲与含蓄;其转折之处,方圆兼济,在顿挫的力道中犹见流畅的笔意。这种艺术处理,便使整篇碑文在庄严宏大的庙堂气象之外,别具一种可亲可感的文人书卷气。恰如清人刘熙载在《艺概》中所言:“书,如也。如其学,如其才,如其志,总之曰如其人而已。”许鸿基先生的笔墨,正是其深厚学养、卓然才情与文化担当的天然流露。他将颜鲁公书法中所承载的忠义凛然之风骨,化为了对岭南本土文化传承的一份笃实而温厚的担当,完成了古典精神在当代语境下的生动转译。

碑刻艺术,堪称书法生命在金石媒介上的第二次诞生。书家挥毫而成的墨迹,必须经过技艺精湛的良工之手,渡于坚贞不朽的金石之上,方能跨越时间,传之久远。此碑的镌刻过程,正堪称“二度创作”的典范。刻工显然深谙书法之理,并非机械地“以刀代笔”,而是以其敏锐的艺术感知力,精准捕捉并匠心独运地强化了许先生笔意中的精髓。那些浑厚饱满的点画,在石面上被表现得肌理丰富,最大程度地保留了原墨的滋润感与生命力;笔锋往来间微妙的使转与力道轻重变化,也通过深浅合度、恰到好处的刀法得以细腻再现;甚至某些笔划边缘因凿刻而自然形成的轻微崩裂,所产生的那种独特的“金石味”,非但无损于书法神韵,反而为作品增添了历经岁月洗礼般的沧桑感与厚重感。书丹者与镌刻者,在此达到了“意与工合”的高度默契,共同确保了书法艺术的神韵,从柔软纸绢到坚硬石碑这一“移民”过程的完美实现。

而当一纸素拓从碑身被轻轻揭下,一个黑白分明、意蕴无穷的艺术世界便随之诞生。拓件,是石碑生命的平面延伸与广泛传播的使者。一幅上佳的拓片,不仅能毫厘不爽地清晰反映字口形态,更能传达出原碑石质特有的肌理与整体精神气质。《重兴百花古寺记》的拓件,墨色匀净古雅,字口清晰爽利,将许鸿基书法笔力的沉雄与刻工刀法的精准展现无遗。尤为难得的是,优质的拓片能完美捕捉石碑历经斧凿后留存于表面的独特质感——那绝非光洁无痕的呆板平面,而是凝结着书家落笔时的凝神沉思、刻工运刀时的专注呼吸,以及古寺重光时那份集体虔敬与喜悦的、有温度的历史痕迹。透过这一纸浸润着墨香的拓片,观者仿佛能跨越时空,触摸到艺术创作过程中所有细腻的情感与蓬勃的力量。
从许鸿基先生的艺术实践与理念观之,书法碑刻绝非仅是观赏之物,它承载着多重切实的实用功能与深远的文化使命。首要功能在于“纪事存史”。将重要的地方事迹、文化事件镌刻于坚固的金石之上,使其成为穿越时空、永恒可信的历史见证,《重兴百花古寺记》碑正是这一功能的当代体现。其次在于“教化传播”。通过置于寺院、园林等公共空间,碑刻无声地展示着艺术与文辞,潜移默化地向公众传递文化价值观念与审美情趣。再者碑刻是“艺术活化”的关键载体。它使书法艺术从书斋案头的纸绢尺牍,走向更为开阔的公共领域与金石媒介,在刀痕与石韵的交响中拓展了书法的审美维度,让深厚的传统文化在当代社会空间中获得了新的表达形式与生命活力。

《重兴百花古寺记》碑的落成,其意义早已超越单纯记录一寺一地之兴废。它是一座以当代杰出笔墨与古老精湛技艺共同筑就的文化地标。许鸿基先生通过对颜真卿《郭家庙碑》的深度研习与化用,将千年前颜鲁公笔下那份关乎家国大义、关乎人格正大的磅礴精神气格,悄然植入岭南丰饶的文化肌体之中。这通石碑,不仅为百花古寺的当代重光作了凝重而永恒的注脚,更在无声处完成了一次跨越时代的、重要的文脉接续。它向世人有力证明:盛唐那雄浑正大的艺术风骨从未远去,也未沉睡;它只是以新的艺术语言与时代姿态,活在当代书家的腕底毫尖,活在金石碰撞的清脆声响中,活在一纸纸墨香氤氲、传播四方的拓片里,持续而生动地参与着中华文明绵延不绝的伟大叙事。
许利平:颜真卿纪念馆馆长